⚠ Switch to EXCALIDRAW VIEW in the MORE OPTIONS menu of this document. ⚠ You can decompress Drawing data with the command palette: ‘Decompress current Excalidraw file’. For more info check in plugin settings under ‘Saving’

Excalidraw Data

Text Elements

e^(3x^2-8 * 6x 6xe^(3x-8)

5ln(12x^2-20) + ln(25x^2-2x) 5 * (1/12x^2-20) * 24x + 1/(25x^2-2x) * 50x - 2 (120x) / (12x^2-20) + (50x-2)/25x^2-2x

definite integral

integral (2,0) 2x+1 dx 2 is upper 0 is lower on the symbol 2x^2/2 + 1x x^2 + x

plug in 2 minus plug in 0

2^2 + 2 = 6 0^2 + 0 = 0 6 - 0 = 6 answer is 6

e^(-.2x^2 + 4) * -.4x = 0 zero at zero because -.4(0) = 0

e^(-.2x^2+4) = 0 Never will happen. horizontal asymptote at x = 0. ln(0) is undefined and ln is the reverse of e^.

so we only have 0

so now solve at -1, 0, and 1

-.4(-1)e^(-.2(-1)^2 + 4) .4e^(-.2(1) + 4) .4e^(-.2 + 4) .4e^(3.8) positive

-.4(1)e^(-.2(1)^2+4) -.4e^(-.2+4) -.4e^(3.8) negative

f increasing -inf, 0 f decreasing 0,inf

-8x^8 + 9/x - 7/x

(-8x^9)/9) + 9ln(|x|) - 7(x^-8/-8) + c -8/9 x^9 + 9ln(|x|) - (7x^-8)/-8 + c -8/9x^9 + 9ln(|x|) - 7/8x^8 + c

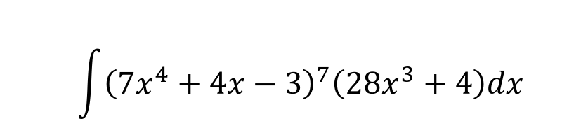
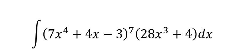
u substitution caues we have inside funtcion

inside exponent denominator

inside

u = (7x^4+4x-3) du = (28x^3 + 4)dx now we do u * du 28x^3 + 4 already matches up integral u^7 du u^8/8 + c ((7x^4+4x-3)^8)/8 +c

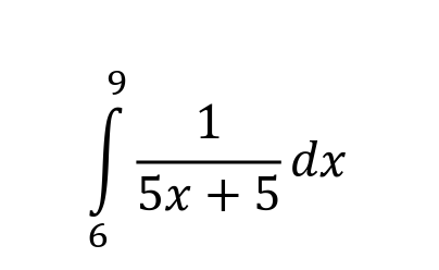
denominator u substitution 5x+5 is u

u = 5x+5 du = 5dx

but we have no multiple by 5

its just dx

so we multiply whole thing by 5

1/5 integral(9,6) 1/(5x+5) * 5dx we have 1/5 int(9,6) 1/u 1/5 ln|u| 1/5 ln|5x+5| integral(9,6) plug in 9 - plug in 6

1/5ln 5*9+5 1/5ln(50) - 1/5ln(35) 1/5ln(50/35)

this means find c too

-5e^x - 5x

F(0) = 6

integral(-5e^x - 5x) -5e^x - 5x^2/2 -5e^x - 2.5x^2 + c

-5e^0 - 2.5(0)^2 + c = 6 -5e^0 + c = 6 -5 + c = 6 c = 6+5 c = 11

-5e^x - 2.5x^2 + 11

Embedded Files

595752a33f63d958ee6af32f32b7f4f34f712951: Pasted Image 20251204093935_555.png

9048d551d6fc8216cc5bd39c96ef9b565bf86ce6: Pasted Image 20251204095621_165.png

2c8daf450331ca149f8b0a04512e3f52aff238f6: Pasted Image 20251204100247_553.png

3351c6f21c3e630d15e11497c9f5fa03bbbf7647: Pasted Image 20251204100637_433.png

28d21a0956dff9b40baaceb556bff0e70c50465c: Pasted Image 20251204100706_729.png

6e692b97fd9668204f3850ec5bc5d64b22a8b8b1: Pasted Image 20251204101738_535.png