⚠ Switch to EXCALIDRAW VIEW in the MORE OPTIONS menu of this document. ⚠

Excalidraw Data

Text Elements

2x+13y=8 7x-9y=1

multiply both sides by opposite side’s coefficient for y

so

9(2x+13y) = 9(8) 13(7x-9y)=13(1)

18x+117y = 72 91x-117y = 13 18x + 91x -72 -13 = 0 18x + 91x - 85 109x -85 = 0 109x = 85

4(x-2)=8y+7 4x-8=8y+7 4x-15=8y 4x-8y=15

-4x+8y=-15 1/4x-1/2y=1/2

multiply by 4 on all

-16x+32y=-60 x-2y=2

16x-32y=30 30

3x + 1y = 85 x + 3y = 79 -x -3y = -79 9x + 3y = 255 9x -x +79 - 255 = 0 9x -x - 176 8x - 176 = 0 8x = 176 x = 22

3(22)+1y = 85 66 + y = 85 y = 19

22,19

(x+y)/2 = 37 x+y=74 -x-y=-74 -3x-3y=-222 8x + 3y = 487

-3x+8x+222-487= 0 5x -265 = 0 5x = 265 x = 53

53+y = 74 y = 21

(a+2)(4a+3)

6

a+2

4a+3 4a+3

1

4a+3

a+2

a+2

6(4a+3) + 1(a+2)

(4a+3)(a+2)

24a+18+a+2

(4a+3)(a+2)

42a+2 (4a+3)(a+2)

entirely wrong i wolframalpha’d it

11/h - 11/(h-7) = 7/h h(h-7)(11/h - 11/(h-7)) = h(h-7)(7/h) (h-7)(11-11/7) = (h-7)(7) (h-7)(11-11/7) = 7(h-7) 11h - (11/7)h -77 -11 = 7h-49 11h - (11/7)h -88 = 7h -49 11h - (11/7)h -39 = 7h 4h - (11/7)h -39 = 0 3h - (4/7)h = 39

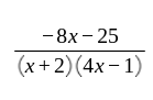
-8x-25

(x+2)(4x-1)

A B ----- + ----- w+3 w-2

3x+13

x^2-5x x(x-5)

s(s^2+8s+16) s(s+4)^2

A/s + B/(s+4) + C/(s+4)^2

5x^3+15x 5x(x^2+3)

A/5x + (Bx+C)/(x^2+3)

(x^2+2)

(Ax+B)/(x^2+2) + Cx+D/(x^2+2)

A/(x+3) + B/(3x+1) = (22x+26)/((x+3)(3x+1) A(3x+1) + B(x+3) = 22x+26 3xA + 1A + Bx +3B = 22x + 26 x(3A + B) + (1A + 3B) = 22x+26 x(3A+B) = 22x 3A+B = 22 1A+3B = 26 A = 5 Y = 7

(x-1)(x-5)

A/(x-1) + B/(x-5) = 4x-28/(x^2-6x+5) A(x-5) + B(x-1) = 4x-28 Ax + 5A + Bx -1B = 4x-28 x(A+B) + (5A -1B) 4x = x(A+B) 4 = A+B 5A -1B = -28 A=-4 B=8

Embedded Files

ee62a13b38d5b885381766489d5ee59144eeed64: Pasted Image 20241121201533_085.png

1db451739588aa566b050acb3b3f30a94782adf0: Pasted Image 20241121212310_541.png

d749041d878d85684e8d219f4699b61e580b3ee8: Pasted Image 20241121214300_858.png

6b087e975ddd6ab6e0dcf97230518dab60ac373d: Pasted Image 20241121214300_913.png

45653ecf4d420bf8a60be04b99a2abd7fca2040e: Pasted Image 20241121215214_012.png

87746f6704844cd548d9a8aa3daa32b2acd965b1: Pasted Image 20241121222725_930.png

b976dc5184048c04f8e23ebae8c40f622224af98: Pasted Image 20241121223157_130.png

55dd0c1da6a00c6b2faba3c0b961cd357406680b: Pasted Image 20241121223510_298.png

2380a5d57073636f9e0399a7ec366d560194a557: Pasted Image 20241122131938_331.png

8538a9f40e6e277dd5cb4cfe56f9b1fd37500d50: Pasted Image 20241122131938_378.png

a24e34cdfedf6d8f1c2134e7d91f4972c3aae729: Pasted Image 20241122131953_365.png

d6edd09e6a730a0916b7b21694d2d173f609f99c: Pasted Image 20241122132123_457.png

ee0b9e4b0d264cc3454179a1bf12abedba72ef9a: Pasted Image 20241122132646_500.png

0d122790e1c708f8bc911bb6ec2cc39d8494e4f6: Pasted Image 20241122135134_804.png

96ea111830cfe1b525ce2fcbb2408eaf3d71b3fa: Pasted Image 20241122135347_762.png

6fe17d9691b6b174c73fd08440f197f2198d7225: Pasted Image 20241122140206_886.png

d0ef053bc05b6da9b30857a7dfdb4e033d803194: Pasted Image 20241123122559_394.png

602e09782dd2bd2240726225cff48a450c9af607: Pasted Image 20241123122714_422.png

437fadbc22db2f287fb470a1b7602f0ee2a980ce: Pasted Image 20241123123014_430.png

4555f2c772662438ef2a7adf3a7970f88f7c3c32: Pasted Image 20241123123100_433.png

63211fa1090c654e1d370f524b23a0f4fe542f20: Pasted Image 20241123123230_442.png

ec9278d1273fb0b26e178a578138f6343ad36c34: Pasted Image 20241123125317_790.png

cb1b752030ae60602f60ea0944b0654122ec0e86: Pasted Image 20241123132805_922.png

502c46235cacc826f49137867d329f7c5f9e2d82: Pasted Image 20241123134052_610.png

478773602dcd817ada7b27840869e31a403d2664: Pasted Image 20241123150851_329.png

59cb57f3e2e817507beb5e126c5d6ea701b1a96c: Pasted Image 20241123153102_157.png