⚠ Switch to EXCALIDRAW VIEW in the MORE OPTIONS menu of this document. ⚠

Text Elements

3a^2-16a+5

x = (16+sqrt((-16)^2-4(3)(5)))/2(3)

x= (-8 +- sqrt(8^2 - 4(1)(16)))/2(1) x = -4

-3 / 1 = -3

-3x^2+4x-2 --------------- = -3 x^2 + 5

-3x^2+4x-2=(-3)(x^2+5) -3x^2+4x-2=-3x^2-15 4x-2=-15 4x=-13 x=-13/4

1-6(x-1)6+6(2x-2) 1-6x-7 6 + 12x - 12 6x-6 12x - 6 6x 12x x 2x

x=(6-y)/3 3x=6-y 3x-6 -3x+6

x=6y^3-4 x+4=6y^3 cbrt(x+4) = 6y cbrt(x+4)/6

(x-6)/(x+9) = y (y-6)/(y+9) = x (y-6) = x(y+9) (y-6) = xy + 9x

Compound interest

P=19000

r = 0.036

t = 14yr

A = P(1+r/n)^nt A = 19000(1+(.036/1))^(114) A = 19000(1+(.036/4))^(414) A = 19000(1+(.036/12))^(1214) A = 19000(1+(.036/365))^(36514) A = 19000e^(.036*14)= 31451.26

P = 10000 t = 112

Pe^(r*t)

r= 0.02 10000e^(.02*112) = 93933.31

r = 0.03 10000e^(.03*112) = 287891.91

r= .045 10000e^(.045*112) = 1544700.15

Pe^(rt) P=10000 r = .03 t = 6 10000e^(.036) = 11972.17

I=Prt I=10000*.055*6

64^(1/2) = sqrt(64) = 8

=

q^2 + 18q +77 >= 0 (x+7)(x+11) >= 0

-7 and -11

log2(4)=2

2^2=4

x^2-x-6 > 0 (x+2)(x-3)>0

so boundaries are x= -2 and x = 3

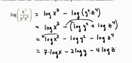
log3x^7-log3y-log3z^6 3logx-3logy-3logz^6

ln

(

e^4

p^2+6

)^1/7

1/7ln

(

e^4

p^2+6

)

1/7(ln(e^4)-ln(p^2+6))

1/7lne^4-1/7ln(p^2+6) 4/7-1/7ln(p^2+6)

1/5log

(

(25b^5)sqrt(y^2-5)

y(x+5)^2

)

log5(25b^5*sqrt(y^2-5)) - log5(y(x+5)^2) log5(25) + log5(b^5) + log5(sqrt(y^2-5)) - log5(y) - log5(x+5)^2) 2 + log5(b^5) + log5(sqrt(y^2-5)) - log5(y) -log5((x+5)^2) 2 + 5log5(b) + log5(sqrt(y^2-5)) - log5(y) - 2log5(x+5) 2 + 5log5(b) + 1/2log5(y^2-5) - log5(y) - 2log5(x+5)

10k(k+3)=7k-12 10k^2+30k=7k-12 10k^2+23k+12=0 (k+8)(k+15)=0 -8 -15

27

n^2-3n

  • 3 =

9

n-3

sqrt(3n+22)+6=n sqrt(3n+22)=n-6 3n+22=(n-6)^2 3n+22=n^2-6n-36 n^2+9n+58=0

3^(2w-9)=(3^-2)^(w+6) 3^(2w-9)=3^(-2(w+6)) 3^(2w-9)=3^(-2w-12)

2w-9 = -2w-12 2w=-2w-3 4w=-3 w=-3/4

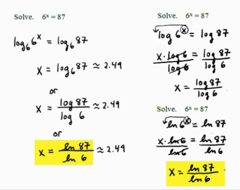
7^y = 14

log7(7)^x = log7(14) x = log7(14)

10^(7+8x) = 139000+3600 10^(7+8x) = 142600 log10(10)^(7+8x)=log10(142600) 7+8x=(log10(142600)-7)/8 7+8x = 5.1541 8x = -2.1541 x = .2692

450e^-0.2t=90 log450e(450e)^-0.2t=log450e(90) -0.2t=log450e(90) t=(log450e(90)/-0.2)

3z+15=3-z 4z+15=3 4z+12=0 z+3=0 z=-3

7log4(3w+1)+4=25 7log4(3w+1)=21 log4(3w+1)=3 4^3=3w+1 64=3w+1 63=3w 21=w

log10(q-1)=4.7 10^4.7=q-1 50118.7233627=q-1 50119.7233627=q 50119.7234=q

log3(y)=3-log3(y-6) y=3-(y-6) y=-9-y+6 y=-3-y 2y=-3 y=1.5

log3(y)=3-log3(y-6) log3(y(y-6)=3 y(y-6)=3^3 y^2-6y=27 y^2-6y-27=0 (y-9)(y+3)

log3(9)=3-log3(9-6) 2=2

lnx+ln(x-5)=ln(7x-27) ln(x(x-5))=ln(7x-27) x(x-5)=7x-27 x^2-5x=7x-27 x^2-12+27=0 (x+3)(x+9)=0

ln3+ln(3-5)=ln(7(3)-27) 1.09+3-undefined ( no good )

ln9+ln4=ln(36) 3.58351893846=3.58351893846

26000=13000(1+.03/12)^12x 2=(1+.03/12)^12x 2=1.0025^12x log1.0025(2)=log1.0025(1.0025^12x) 277.605301589 = 12x 23.1337751324 = x

A=Pe^rt 10000=8000e^.025t 1.25=e^.02.5t loge(1.25)=loge(e^.025t) loge(1.25) = .025t loge(1.25)/.025 = t 8.92574205257=t

150(2)^-t/6

120=150(2)^(-t/6) .8 = 2^(-t/6) log2(.8)=log2(2^(-t/6)) log2(.8)=-t/6 6log2(.8)=-t -6log2(.8)=t 1.93156856932=t

30=150(2)^(-t/6) 30/150=2^(-t/6) .2=2^-t/6) log2(.2)=-t/6 6log2(.2)=-t -6log2(.2)=t 13.9315685693

26=10log(I/10^-12) 2.6=log(I/10^-12) 10^2.6=I/10^-12 10^2.6*10^-12=I 10^-9.4=I

40=10log(I/10^-12) 4.0=log(I/10^-12) 10^4.0=I/10^-12 10^4.0*10^-12=I 10^-8=I

91+160ln(7+1) 91+160ln(8) = 423

450 = 91+160ln(x)

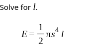
E=1/2(pi)s^4I 2E=pis^4I 2E/pis^4

-5. 2(-5)^2-2(-5)

2(25)+10 60

-4. 2(-4)^2-2(-4) 2(16)+8 32+8 40

-3. 2(-3)^2-2(-3) 2(9)+6 18+6 24

-2. 2(-2)^2-2(-2) 2(4)+4 8+4 12

167200.19 = 50000e^r(35) 167200.19/50000 = e^r(35) ln(167200.19/50000)=r35 ln(167200.19/50000)/35=r 0.034490538 3.4%

250000 = 50000e^(.034*x) 250000/50000 = e^(.034x) ln(5)=.034x 1.609/.034=x

P=23.4e^(0.00336t)

24.2=23.4e^10r 24.2/23.4 = e^10r ln(24.2/23.4)=10r ln(24.2/23.4)/10 = r 0.003361661079898 = r 0.00336 = r

23.1=19.5e^10r 23.1/19.5=e^10r ln(23.1/19.5)=10r ln(23.1/19.5)/10=r 0.016941815195804674 = r 0.01694 = r P=19.5e^0.01694t

P=19.5e^0.01694t P=19.5e^(0.01694(20))

P=23.4e^(0.00336t) 23.4e^(0.00336(20))

greater growth rate for south pacific

P=19.5e^0.01694t 30 = 19.5e^.01694t 30/19.5=e^(.01694t) ln(30/19.5)=.01694t ln(30/19.5)/.01694 = t

30 = 23.4e^(.00336t) 30/23.4 = e^(.00336t) ln(30/23.4) = .00336t ln(30/23.4)/.00336 = t

P=23.4e^(0.00336t)

.87=e^-(.000121t) ln(.87)=-.000121t ln(.87)/-.000121 = t

.275 = e^-.000121t ln(.275)/-.000121 = t

0.5 = e^-k(87.7) ln0.5 = -87.7k ln0.5/-87.7 = k 0.00790 = k

3.5e^-.00790t

3.5e^-.00790t = 1.7 e^-.00790t = 1.7/3.5 -.00790t = ln(1.7/3.5) t = ln(1.7/3.5)/-.00790 t = 91.4

10e^-k(6) = 0.5 e^-k(6) = 0.05 -6k = ln(.05) k = ln(.05)/-6 k = .1155

10e^-.1155t

6 = 10e^-.1155t .6 = e^-.1155t ln(.6) = -.1155t ln(.6)/-.1155 = t 4.4 = t

2/3 = 300e^-k174 (2/3)/300 = e^174k ln((1/3)/300) = -174k ln((1/3)/300)/-174 = k 0.03909 = k

300e^(-.03909t)

i was wrong idk why

150 = 300e^-.00631t

150/300 = e^-.00631t 1/2 = e^-.00631t ln(1/2) = -.00631t ln(1/2)/-.00631 = t

15.9e^0.01462(x) = 30

e^0.01462(x) = 30/15.9

0.01462(x) = ln(30/15.9) x = ln(30/15.9)/.01462

32^(x+5) = 4^(3x-1)

19=17-log2(2x+4) 2 = -log2(2x+4) 2^-2 = 2x + 4 2^-2 -4 = 2x (2^-2 -4)/2 = x -15/8

8000*.069*3

8000e^(.065*3)

36^1/2 = 6

7^2)^x+8) = 7^4x 7^(2x+16) = 7^4x 2x+16 = 4x 16 = 2x 8 = x

2 = -log2(2x+4) 2^-2 = 2x+4 1/4 = 2x + 4 1/4 - 4 = 2x -3.75 = 2x -3.75/2 = x -1.875 = x -1.875 = -15/8

15.9e^0.01462(x) = 30

e^0.01462(x) = 30/15.9

0.01462(x) = ln(30/15.9) x = ln(30/15.9)/.01462

( 37.5 35.9 39 38.1 + x ) / 5 = 35.2 37.5 + 35.9 + 39 + 38.1 + x = 5(35.2) 176 = 150.5 + x 176 = 150.5 + 25.5

11136 - 232x = 0 -232x = -11136 232x = 11136 x = 11136/232

Embedded files

dadc2ebae23024a96966379472ce682f629d633c: Pasted Image 20241016165947_292.png 7a7c862e8842024d41d613e02682f1e349be078f: Pasted Image 20241017231854_393.png 07bae9435dd3faed2d60ee12472f776a873f1ccf: Pasted Image 20241017232126_450.png 1ef38c6cd6b9045a0bd1290e87c7002c27c8e006: Pasted Image 20241017232541_512.png 3a5bfa59f1182e32d8fac1971c342891cbe1091f: Pasted Image 20241018171256_292.png 5f3a98f0a9fd938212e206c323578a31cf7f816c: Pasted Image 20241021194223_949.png c293b47478fb127ceef04fc5942639c2f6cb506a: Pasted Image 20241021195255_278.png 1ef2db713cd26c3a55211d1ac0285af35be80711: Pasted Image 20241024230928_859.png ea7f566716659110d53bee4b4ac36b94916e3e11: Pasted Image 20241024231458_867.png 5ed2af071a3b74d27b619d38dbe957a4ab3e96bf: Pasted Image 20241025130727_418.png c6eb76403432ab3a4cfb5b7249eab499ddd5c198: Pasted Image 20241025130743_420.png 0d2743aa9c9c05c60339ed7ac9dcc23b4f199598: Pasted Image 20241025130928_424.png eeb596d71d1f0b018b5022ed213455b1683e9bb6: Pasted Image 20241025130945_427.png 251f9a48dde57448f53de3197c8bf3f432f1dd2f: Pasted Image 20241025131147_169.png ab61927369e068fc9b4e05e0a888cb3aa905bad4: Pasted Image 20241025131527_266.png fb127bc7964c510aedbf1de2cbc542b1d17892c8: Pasted Image 20241030113403_551.png d5ae8afc34a20e7f6ab45d1c07346affdd4b9d7f: Pasted Image 20241030113549_599.png d0f9bd9f4b1f35f449dd94d644545cc04d59fda8: Pasted Image 20241030113929_723.png 1837f11971ccf4a241502e528112f4225da5f38f: Pasted Image 20241030114114_779.png 53393527884163ff2ce43ae9d606053dc0790be3: Pasted Image 20241030114145_782.png 7e880e3f17bdea94e7d7e2f974fb4c719503c1a9: Pasted Image 20241030114430_790.png 297964a16092bbbf1effd34536a557d5c8646828: Pasted Image 20241030114800_802.png edb8ed2f2b281a2a899f83ae2b7e85d024256939: Pasted Image 20241030115530_876.png 8ebb29f92e7a9b9af742e5acdbd687b33cb46e67: Pasted Image 20241030115730_902.png 58b5d1a65a260b61132aaf18895d7487415c42f8: Pasted Image 20241030115830_953.png d0c0853cba5cf9a392cb94a0fbaac01d4e2b06b2: Pasted Image 20241030120145_962.png f15da7f3187adf46313ca4e1f76e47326d893b50: Pasted Image 20241030122220_129.png 890e36a0a130f98e369b0d12407551ef0ec42e07: Pasted Image 20241030132035_332.png 19cc6c69c86d4d22ec0eef787987e956cd2f07f7: Pasted Image 20241030141012_418.png 8be6479b5948d992f60f0fcc26ca9f92bfe79a5a: Pasted Image 20241030142927_512.png e82d8233c50c61fd17aa3b569cac94079389c250: Pasted Image 20241030143043_516.png e80c1a0ac4c156b88859217847077e1cc92a5e97: Pasted Image 20241031192621_428.png fd20a70c84b586a9b7f967755f39684bc4a750ef: Pasted Image 20241031192636_480.png 5015fc55a23170ea4b67548679f23f2310ebc3bc: Pasted Image 20241031192706_535.png e99551a73649a99ff9da8428d7db16d55899293c: Pasted Image 20241031193040_550.png c784f57611bf4f7c9b2f788a29eb08ff1db2aab5: Pasted Image 20241031194242_717.png d27270c5919d1cbe8617e1a7b63005396fa0c98e: Pasted Image 20241031201228_795.png c1bf883e9ab319065212c93e63c5bda458f29255: Pasted Image 20241031201259_883.png 2d3416bb92f0fe46809671c9e832ad04d1094f77: Pasted Image 20241031201314_884.png abea344ac6ad305ab459a961be5e34c0d17ff31c: Pasted Image 20241104133640_804.png 39d3d3dc7f5936bf53590a7b7fbf2f0d55b7fc80: Pasted Image 20241104154639_537.png c9aa8c797da2c376f472ec7e1df870ff8c4bb70b: Pasted Image 20241104160650_788.png 6fb64ef24d4b6ac004aeda1811cb622d8907ebbf: Pasted Image 20241104161444_915.png fa97dd08f119f2bdae4220fa995e7e9312e4c212: Pasted Image 20241104162659_996.png d94e7b6c50e837b55783bb1842c292c64f8c5b64: Pasted Image 20241104162822_073.png f8b1ad7733f2314f7fdbd64dcff4b78e7b87d470: Pasted Image 20241104165647_217.png 0a146dc47243b6966bae5f313f2e0fa077f9cfde: Pasted Image 20241104165952_331.png b1836c0b68b8fb0999ab3b3e0e0248e55a509b09: Pasted Image 20241106113514_475.png b68bc29a46776174fcc546647a8246ac6e0d66a6: Pasted Image 20241106114544_571.png 3f135da109afcf34d4e6f438cdb925cc35ea6832: Pasted Image 20241106115514_637.png 588b35800adcc90e1a6b0cbb0f53f5dd8860b50c: Pasted Image 20241106120201_692.png 68f71c80ec30f7bf11bb9553b1c987aa8536e025: Pasted Image 20241106120201_728.png 349377cbdcce66e33dbf1572c4d9fe8a43d6f8f2: Pasted Image 20241106120731_742.png b63b3535827572be1c2d2ed58c47e4461030cf64: Pasted Image 20241106121203_932.png 3cd1b8d5fe007f2e9aefe2c1221e2217e2fd7c9b: Pasted Image 20241106121248_978.png 7e3f5b03c2be059d0501c298fb5234f7d589cccd: Pasted Image 20241106121303_980.png b9470001dbce28d8f75d58487620e1bdf598dc95: Pasted Image 20241106121528_997.png bc92b455012c7c181a14e6deaae7376ff3ed8188: Pasted Image 20241106121844_007.png c69ae7426cb515893b3c8c209242f99310cc7e53: Pasted Image 20241107170001_468.png aca03137d2e5ffed2a2cfe47a1f841989989652f: Pasted Image 20241107170756_812.png 8a985fbb420174602cacf083ef0f9dfb0a21787f: Pasted Image 20241107171144_987.png 81140f21b661b9dedf2b20c40788adf02343669e: Pasted Image 20241107212301_004.png dcaf1640e34aa1989d5ea0f498230926a905ccd5: Pasted Image 20241107212923_166.png 4bd7c10ef2f0ea7c7691249b10e656b3c9014183: Pasted Image 20241107215526_472.png 9ae6b4cbb5f619def9b19327c5aa2e49c5ad1a53: Pasted Image 20241107220547_222.png 8d3b872af7f2a303a23aac2dcc10c6f3ed349be2: Pasted Image 20241107222828_508.png c89da0a48e67f00d574cf7fab92ff8401fc75398: Pasted Image 20241107223530_537.png 1666ff5185a0ae7065e5238b8ea1428755180003: Pasted Image 20241107223530_579.png 042dc39f7232e790145d69c06b199dd5f764e329: Pasted Image 20241107223545_575.png 030aa8f568c8b051cac17f0c89515212c5e97555: Pasted Image 20241107223601_581.png 6bf076ae4b26e19a6d10f03b623b1464b2b1aa69: Pasted Image 20241107225028_706.png 1ff8717085914b1c358937c449caaf7b0559018d: Pasted Image 20241108140947_564.png 439ec1136c14f90dac79b7cc56ca874bc6eb7e42: Pasted Image 20241108162141_980.png c174488b8e38b73221e85a63692d9e87b4350505: Pasted Image 20241108162515_101.png 3f4d5b911efddae1213ee2562197dc514cb749f6: Pasted Image 20241108162730_156.png 2aa71fcddd8441d9ce25aba2cf0fda73778c6439: Pasted Image 20241108163000_163.png e6f3dad161af1df8df21cc654502d00431b41bc8: Pasted Image 20241108163130_171.png 35f63b95ab5ba99cf5a06523e2930f392e670915: Pasted Image 20241108163931_400.png 84f9d21a8a3e0988f76753a3937fe95240f071b5: Pasted Image 20241108164304_426.png d905a32909cb987e828a53fb8c16bd134a56c325: Pasted Image 20241108165443_594.png 30e6162de2faa63d20e9d9f0c75f80895d77c3e4: Pasted Image 20241108165606_653.png ba4b616be73bbb60403127ff00c62c573787bb0e: Pasted Image 20241108165723_713.png 52579579513a592cc4915998d766a6f85fd2c297: Pasted Image 20241108165958_881.png 00ca1f1c4c742388bbd43c9a0738a6b0bd7bd472: Pasted Image 20241108171131_487.png ba9ca5a76c7c646303ec955eda33043519d604d9: Pasted Image 20241108171242_596.png 93b8f6d73b18892739a35ff3e37f057ee5f8420e: Pasted Image 20241108173033_155.png 0bc3608350d984ee16e0c501b32822ca446b71a0: Pasted Image 20241108174313_377.png 966db363de425ea73d437cdc3dd192b0004d08e0: Pasted Image 20241108174456_492.png 28f4843dffca9ce9cfd00d0aed1255bee3a053d0: Pasted Image 20241108175520_718.png 712877cc65a033e411214a89d86ba35eef8aa8c8: Pasted Image 20241112095543_297.png 6ffe04bc7943d90e27264404808595d2804c3013: Pasted Image 20241112100036_461.png fd147a639860a09136c9c826193d1954aa6a4773: Pasted Image 20241112100741_598.png 791f8d1584c6bd9cece2e8c5884f553f31306fd2: Pasted Image 20241112104730_426.png ef1695d0da7ccb80af50dc6bf534a580cc4a654a: Pasted Image 20241112104830_480.png b1d940eb9d352b2dad0fcee897776206c58e430f: Pasted Image 20241112104930_483.png b28205eb4d4535475b20caf8d15862394e1005de: Pasted Image 20241112104945_489.png 23efaeb3ebdf181b20a29b843c2c7ac3e71804bc: Pasted Image 20241112105200_498.png 107e616bb9ed480c96f7774f771815a952f49192: Pasted Image 20241112105500_524.png 8951e828b23c0dc10da3f786ac68e72b775c736b: Pasted Image 20241112105500_571.png 8d6b7532cd5af7a3d05b1b5e440872a99e086cb9: Pasted Image 20241112105600_573.png 3a389c7ef5ea94e74af61c3acc5cac67f1a9f10d: Pasted Image 20241112105745_578.png 67792afa01d63e0acd4d44c5069374b2209e827b: Pasted Image 20241112105800_584.png a376304ea5156c859f094f4ddfaa9f4f84e19b2d: Pasted Image 20241112105902_593.png c9ad32d1b1e36f0f0a24c07cb90e0dbe35879116: Pasted Image 20241112105921_597.png b3ae47c56be7ba6fc9d6438f2c7697dab8f3dbe8: Pasted Image 20241112110105_630.png f0a261a81f62dcb48e7fc8c7aa125b567f69b53d: Pasted Image 20241112110251_653.png 10447ee9a8fc17490185c915ff1b7daa67268cde: Pasted Image 20241114132523_607.png 6c8c719d1216b89ee3444f4d0b52948c34acc0a1: Pasted Image 20241114134341_755.png